✨Effective Academic Writing 1 Student Book with Access to Oxford Learn 2Ed
Mua tại Shopee
Mua tại Tiki
Mua tại Lazada
Mua tại TiktokEffective Academic Writing instills student confidence and provides the tools necessary for successful academic writing. More content-area related assignments with more academic vocabulary and readings prepare students for the challenges of the academic classroom. Each unit introduces an academic content theme and writing task and guides students through the Writing Process The new Introductory Level provides students with the support and instruction they need for writing success in the lowest-level writing courses.
Mua tại Shopee
Mua tại Tiki
Mua tại Lazada
Mua tại TiktokInterchange Level 1 Student's Book With Digital Pack - 5th Edition Interchange is a four-level, American English course that has been used by over 50 million students worldwide. This Level 1 Student's Book with Digital
Life Bre 3E Beginner Student's Book + Spark Sticker Life is a six-level, best-selling integrated-skills series with grammar and vocabulary for young adult and adult English language learners. Known for teaching students something new about
Practice Tests Grade 10 - 11 - 12 được biên soạn nhằm giúp học sinh củng cố kiến thức tiếng Anh lớp 10 và trang bị cho các em nguồn tài liệu luyện tập chuẩn
Bài tập bổ trợ Tiếng Anh i-Learn Smart World được biên soạn với mục tiêu mang đến cho các em học sinh nguồn bài tập bổ trợ phong phú theo sát chương trình học. Các
Life BRE Pre-Intermediate Student's Book With App Code And Online Workbook Impact helps teenage learners to better understand themselves, each other, and the world they live in. By encouraging self-expression, global citizenship, and active participation,
Unlock 3 - Listening, Speaking And Critical Thinking - Student's Book With Digital Pack (2nd Edition) Our business meets the highest standards of verified social and environmental performance, public transparency and legal accountability to balance
Story Central Plus có 6 cấp độ, mỗi cấp độ giúp các em phát triển kỹ năng đọc của học sinh và Sách Hoạt động với các hoạt động thực hành theo phong cách Cyle.
Our Discovery Island được thiết kế như một hành trình thú vị giúp các em đến các hòn đảo tưởng tượng. Ở đó, các em phải tìm ra manh mối, đồng thời giải quyết bí
Imagine Level 1 Student Book With Online Practice & e-Book Bringing the real world to your classroom is now as easy as ABC! With exciting content from National Geographic, Imagine makes it simple to introduce
American Grammar Goals: Student's Book Pack Level 1 The American Grammar Goals Student's Book Packs include a Student's Book and a CD-ROM. The Student's Book has 10 units per level plus a two-page exam practice
Imagine Level 3 Student Book With Online Practice & e-Book Bringing the real world to your classroom is now as easy as ABC! With exciting content from National Geographic, Imagine makes it simple to introduce
English World Level 5 Pupil's Book + eBook Pack The Pupil's Book contains twelve units with each unit designed to be taught over a two-week period. The key skills of reading, writing, speaking and listening
EXTRA and FRIENDS là một khóa học 5 cấp độ dành cho học sinh sơ cấp Tiếng Anh. Bộ sách theo chương trình giảng dạy Việt Nam và Khung Tham chiếu Chung Châu Âu về
Look BRE 2 Workbook With Online Practice Get up close with Look, a seven-level series for young learners of English. See something real with amazing photography, authentic stories and video, and inspiring National Geographic Explorers.
Career Paths là một nguồn tài nguyên giáo dục mới cho những ai muốn cải thiện giao tiếp tiếng Anh trong môi trường làm việc. Kết hợp từ vựng và ngữ cảnh cho từng ngành
Giáo trình ACCESS – Lớp 6-9 là bộ giáo trình tiếng Anh được thiết kế dành riêng cho học sinh đang học tiếng Anh tại các trường Trung học Cơ sở, chương trình tiếng Anh
Cambridge IELTS 20 Academic Các bài luyện thi MỚI NHẤT từ Nhà Xuất bản và Hội đồng Khảo thí Tiếng Anh Đại học Cambridge Cung cấp đề luyện thi CHÍNH XÁC giống như bài thi
Share It! 4 Workbook The Workbook provides reinforcement of the Student Book lessons' content, and can be used in class or as homework.
Cambridge IELTS 20 Academic Các bài luyện thi MỚI NHẤT từ Nhà Xuất bản và Hội đồng Khảo thí Tiếng Anh Đại học Cambridge Cung cấp đề luyện thi CHÍNH XÁC giống như bài thi
Achievers là bộ sách sáu cấp độ hoàn toàn mới dành cho thanh thiếu niên được kết hợp nhiều chủ đề thú vị, hợp lứa tuổi, cùng những tài liệu hấp dẫn, thực tế để
Give Me Five! Level 3 Activity Book With Digital Book Give Me Five! is an engaging 6-level primary course with a strong focus on collaboration and 21st century skills. The dynamic and fun content keeps
Get Involved! A1+ Workbook and Digital Workbook Get Involved! Building skills for the real world Get Involved! equips teenage students with the sense of excitement and appetite to explore the world ahead of them. It
Imagine Level 1: Workbook ALWAYS BE CURIOUS! Bringing the real world to your classroom is now as easy as ABC! With exciting content from National Geographic, Imagine makes it simple to introduce curious young learners
Learn with Ollie 1 Student's Pack Learn with Ollie is an exciting new series which aims to provide pre-primary children with the initial building blocks for future success in English. It focusses on early childhood
Tiếng Anh i-Learn Smart World là khóa học tiếng Anh dành cho học sinh THPT. i-Learn Smart World đã được phát triển bởi một đội ngũ giàu kinh nghiệm gồm các nhà văn, giáo viên
Tiếng Anh i-Learn Smart World là khóa học tiếng Anh dành cho học sinh THPT. i-Learn Smart World đã được phát triển bởi một đội ngũ giàu kinh nghiệm gồm các nhà văn, giáo viên
Supporting all teachers, developing every child. Build conversation skills, with functional language in the new Fluency Time! sections - even see the conversations in action, on the Fluency DVD. Students can take their English learning
Speakout Pre-Intermediate 2nd Edition Workbook With Key Speakout is a comprehensive English course that helps adult learners gain confidence in all skills areas using authentic materials from the BBC. With its wide range of support
An exciting new course for teenaged learners! Explore New Frontiers, a six-level series, to learn about English in the 21st century .
An exciting new course for teenaged learners! Explore New Frontiers, a six-level series, to learn about English in the 21st century .
Right on ! là một khóa học 4 cấp độ dành cho học sinh trung học tiếng Anh. Bộ sách bao gồm chương trình học quốc gia của Bộ Giáo dục và Đào tạo Việt
Smart Phonics 4 - Workbook (3rd Edition) Smart Phonics is an easy-to-teach phonics series developed for elementary school children learning English as a Foreign Language. Throughout the five books series, basic phonics skills are introduced
- i-Learn Smart World là khóa học Anh ngữ 7 cấp độ dành cho học sinh trung học, được phát triển bởi một đội ngũ các tác giả, giáo viên quốc tế và Việt Nam
- i-Learn Smart World là khóa học Anh ngữ 7 cấp độ dành cho học sinh trung học, được phát triển bởi một đội ngũ các tác giả, giáo viên quốc tế và Việt Nam
- i-Learn Smart World là khóa học Anh ngữ 7 cấp độ dành cho học sinh trung học, được phát triển bởi một đội ngũ các tác giả, giáo viên quốc tế và Việt Nam
- i-Learn Smart World là khóa học Anh ngữ 7 cấp độ dành cho học sinh trung học, được phát triển bởi một đội ngũ các tác giả, giáo viên quốc tế và Việt Nam
i-Learn My Phonics là một chương trình ngữ âm được thiết kế để dạy theo cách tiếp cận ngữ âm “đầu tiên và nhanh chóng”. Nó có thể được sử dụng trước hoặc cùng với
Life Student’s Book 3rd Edition, A1-A2 Life là bộ sách học tiếng Anh thú vị với 6 cấp độ dành cho người lớn. Dựa trên nội dung của National Geographic, Life biến quá trình học
Q: Skills for Success: Intro Level: Reading And Writing Student Book With iQ Online Practice - 3rd Edition Q: Skills for Success is renowned for helping students to achieve academic success in English. The Third
Team Together Pupil's Book With Digital Resources Pack Level 3 The Pupil’s Book contains: An introductory unit (Starter) A nine main units and three additional units related to festivals Cut-out materials and stickers Access to
Look 6 Student Book (British English) The world is an amazing place. Get up close with Look, a seven-level series for young learners of English. See something real with amazing photography, authentic stories and video,
Kid's Box New Generation - Pupil's Book With Ebook 6 The classic course for a new generation A generation has learnt English with Kid's Box. Maskman, Marie, Trevor, Monty, the Star family and their friends
Trailblazer Workbook 2 Trailblazer cultivates critical thinkers, readers, and writers and provides the language support they need to be ready to study subject-matter content in English. Trailblazing students take meaningful action beyond the classroom by
Bộ sách gồm: sách bài học, sách bài tập, vở tập viết. EXTRA and FRIENDS là một khóa học 5 cấp độ dành cho học sinh sơ cấp Tiếng Anh. Bộ sách theo chương trình
Oxford Discover Science 2nd Edition: Level 2: Student Book With Online Practice Oxford Discover Science is a six-level science series in American English for primary English language learners. The guiding principle of Oxford Discover Science
Speakout B1+ - Workbook With Key (3rd Edition) The document contains a lesson plan and answer key for an English class. It includes vocabulary, grammar, reading and listening exercises with answers. The document provides teaching
Perspectives - American English - Student's Book - Spark Sticker 3 Perspectives is a four-skills series in American and British English that teaches learners to think critically and to develop the language skills they need
Team Together Pupil's Book With Digital Resources Pack Level 2 The Pupil’s Book contains: An introductory unit (Starter) A nine main units and three additional units related to festivals Cut-out materials and stickers Access to
Perspectives - American English - Student's Book - Spark Sticker 4 Perspectives is a four-skills series in American and British English that teaches learners to think critically and to develop the language skills they need
Life Student’s Book 3rd Edition, A2-B1 Life là bộ sách học tiếng Anh thú vị với 6 cấp độ dành cho người lớn. Dựa trên nội dung của National Geographic, Life biến quá trình học
Smart English 6 Wb (2Nd Edition) Smart English 2nd Edition is a seven-level integrated course book for young learners that is fun and easy. Through comics featuring funny characters, learn useful real-life conversational expressions while
Welcome To Our World 2 With The Spark Platform (2nd Edition) THE WORLD IS WAITING. Teach English through music, motion, and culture with Welcome to Our World, Second Edition, a 3-level series for very young
Happy Hearts US is a three-level course for young children learning English for the first time .
Hooray! Let’s play! là bộ giáo trình tiếng Anh mầm non gồm 3 cấp độ dành cho trẻ 3-5 tuổi được viết bởi đội ngũ tác giả nổi tiếng Herbert Puchta và Günter Gerngross. Chương
Crickets là bộ sách gồm 4 cấp độ dành cho mầm non. Nguyên tắc học dựa trên phương pháp 5E. Mô hình giảng dạy này dựa trên cách thức tiếp cận kiến tạo trong học
Hooray! Let’s play! là bộ giáo trình tiếng Anh mầm non gồm 3 cấp độ dành cho trẻ 3-5 tuổi được viết bởi đội ngũ tác giả nổi tiếng Herbert Puchta và Günter Gerngross. Chương
Life BRE Elementary Student's Book With App Code And Online Workbook Now in a new edition, National Geographic Learning brings the world to your classroom with Life, a six-level integrated-skills series with grammar and vocabulary
Big Show is a six-level coursebook designed specifically for beginner to intermediate learners of English. Each unit includes conversations, songs, comics, stories, and activities developed to improve reading, writing, listening, and speaking skills. Also, engaging
An exciting new course for teenaged learners! Explore New Frontiers, a six-level series, to learn about English in the 21st century .
My Phonics là một chương trình ngữ âm 5 cấp chất lượng cao được thiết kế để dạy theo cách tiếp cận ngữ âm “đầu tiên và nhanh chóng”. Nó có thể được sử dụng
👁️ 192 | ⌚2025-10-05 15:57:49.471
Use this EASY TRICK for IELTS Writing
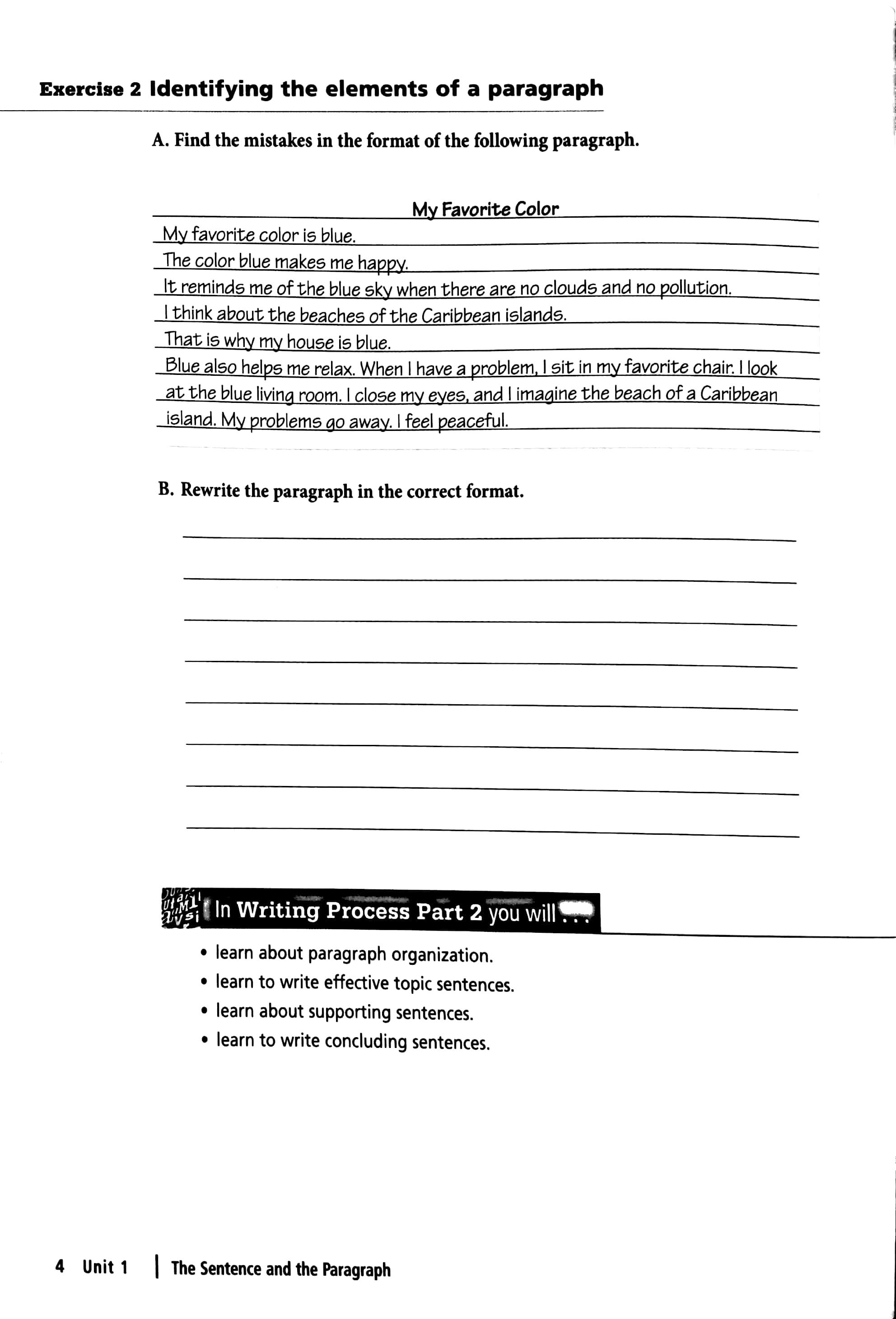
Editing Paragraph || Part-1 || Effective Academic Writing || B.Ed. First Year || Compulsory English
Task 1 sample answer for 7+ bands #7 ||#ielts #ieltspreparation #ieltswriting #7bands #sampleanswer
How To Improve Your Academic Writing IMMEDIATELY | 3 Tips For PHD Students
What is academic writing?
Introduction to Academic Writing

Use this EASY TRICK for IELTS Writing
Editing Paragraph || Part-1 || Effective Academic Writing || B.Ed. First Year || Compulsory English
Task 1 sample answer for 7+ bands #7 ||#ielts #ieltspreparation #ieltswriting #7bands #sampleanswer
How To Improve Your Academic Writing IMMEDIATELY | 3 Tips For PHD Students
What is academic writing?
Introduction to Academic Writing

+ CHI TIẾT - 100% da bò tự nhiên - Chất liệu: Da bò Pebbled mềm mại - Màu da: Vàng cam - Kiểu dáng: Đứng – Gập 2 - Khóa kéo: Không - Kích
4P's có nghĩa "For Peace" - cho Hòa Bình tràn ngập trên toàn thế giới. Tham vọng ở Pizza 4P's không chỉ đơn giản là "Một nhà hàng Pizza tuyệt vời" mà chúng tôi có
Le Monde Steak là hệ thống Bít Tết theo phong cách thành thị Pháp đầu tiên tại Việt Nam, nơi thực khách tự do trải nghiệm những món ăn mang hương vị Pháp đầy lôi
Sôi nổi, phóng khoáng, vui nhộn chính là tinh thần mà Yakimono – Quán thịt nướng Nhật Bản muốn mang đến cho bạn. Trái ngược với khung cảnh yên bình bên ngoài, chỉ cần đẩy
Hoa Yêu Thương là bông hoa được ghép từ nhiều trái tim với mong muốn kêu gọi mọi người hãy chia sẻ yêu thương nhiều hơn. Cuộc sống sẽ tốt hơn rất nhiều nếu chúng
Gyu-Kaku nhập thịt tươi và cắt từng lát một tại nhà hàng để đảm bảo độ tươi ngon. Nước tương và miso truyền thống Nhật Bản chúng tôi dùng cho sốt và ướp thịt kĩ
Hạn sử dụng: 2025-12-31 00:00:00 Potico là điện hoa chuyên cung cấp bó hoa yêu thương và quà tặng ý nghĩa hàng đầu tại Việt Nam. Potico luôn miễn phí giao hàng trong khu vực
Nếu bạn là người Hàn Quốc sinh sống hoặc làm việc xa nhà, bạn nên ghé qua Butoomac để cảm nhận hương vị quê hương. Đây là những nhà hàng rất nổi tiếng ở Hà
Ra mắt thương hiệu tại Hà Nội với cơ sở đầu tiên Hàng Bông vào năm 2016, hiện nay, Don Chicken đã có 14 cửa hàng tại Hà Nội, Quảng Ninh, Bắc Ninh, Thanh Hóa
MIYEN - Nét chấm phá Nhật Bản tinh tế đầy duy mỹ. Miyen Japanese Fusion Cuisine mong muốn đem đến cho Quý Thực khách trải nghiệm bầu không khí giao thời của một đất nước
Với phương châm: “Nơi ẩm thực Hồng Kông được tôn vinh và chăm chút. Chúng tôi mang đến quý khách sự trải nghiệm tuyệt đối từ vị giác đến văn hóa ẩm thực”. Baoz Dimsum
A Mà Kitchen - Stay Vietnam, Taste HongKong Trở về Hồng Kông 40 năm trước, A Mà - Bà Nội của một gia đình Trung Hoa là người luôn tận tụy chăm lo từng bữa
Thương hiệu bánh donut thơm ngon, và những ly cà phê đậm đà, mang đến không gian thân thiện để kết nối mọi người. CRISPY DONUTS luôn cập nhật hương vị mới, đảm bảo mỗi
Đến Hệ thống tiNiWorld, các bậc phụ huynh hoàn toàn có thể yên tâm vì con yêu của mình được bảo vệ an toàn nhất. Tất cả các thiết bị đồ chơi tại đây đều
BORNGA VIỆT NAM: Là chi nhánh thuộc thương hiệu và chuỗi hệ thống nhà hàng nổi tiếng toàn cầu Bornga, Bornga Việt Nam hân hạnh phục vụ những món ăn mang đậm nét truyền thống
Otoké Chicken tự hào là thương hiệu gà rán của Việt Nam - được đầu tư và quản lý bởi Quỹ đầu tư VI (VIGroup) – một công ty quản lý quỹ chuyên nghiệp, chuyên
Với sự ra đời của cửa hàng đầu tiên tại Việt Nam vào năm 2007, chuỗi cửa hàng TOUS les JOURS khẳng định vị trí dẫn đầu trong phân khúc cao cấp bánh và cà
Bạn đang lên kế hoạch cho một bữa tiệc ấm cúng, một buổi hẹn hò hay một buổi liên hoan cuối năm? Đừng bỏ lỡ voucher tiền mặt từ Ssamjang - Nướng & Cuốn Chợ
Shang Chi - Taiwanese Rotary Hotpot là con tàu trải nghiệm và khám phá thiên đường lẩu Đài Loan đầy màu sắc và đa dạng. Shang Chi cũng là sự giao thoa giữa yếu tố
Không gian rộng rãi và sạch sẽ, nhân viên thân thiện, nhiệt tình chắc chắn là điểm đến lý tưởng cho một cuộc hẹn tại Spicy Box. Đến với Spicy Box bạn sẽ được hóa