✨Cambridge Preliminary English Test 5 Student's Book with Answers
Mua tại Shopee
Mua tại Tiki
Mua tại Lazada
Mua tại TiktokThe Cambridge Preliminary English Test 5 practice tests provide candidates with an excellent opportunity to familiarise themselves with the 2004 PET exam and to practise examination techniques. The Student's Book contains practice material for Paper 1 (Reading and Writing) and Paper 2 (Listening), along with attractive colour visual material for Paper 3 (Speaking), enabling students to prepare thoroughly for the paired Speaking test. The Student's Book is available with or without answers.
Mua tại Shopee
Mua tại Tiki
Mua tại Lazada
Mua tại TiktokGrammar and Vocabulary reference and practice for the revised Cambridge English: Advanced (CAE) from 2015 Cambridge Grammar for CAE and Proficiency provides complete coverage of the grammar needed for both CAE and Proficiency with plenty
In 1999, the A.B. Combs Elementary School in Raleigh, North Carolina, launched a new leadership program that taught Stephen R. Covey's The 7 Habits of Highly Effective People to a pilot group of children. The next year
English Collocations In Use Advanced Book With Answers (Vocabulary In Use) Improve your fluency and sound more natural in English. Collocations are combinations of words which frequently appear together. This book contains explanations and practice
Academy Stars Level 1 Pupils Book Pack
the geek way economist best books of the year financial times business book of the month 'a handbook for disruptors' - eric schmidt, former ceo of google learn how the 'geek' mindset is revolutionizing the
growth iq the wall street journal top ten bestseller: the 10 strategies to sustainable growth, based on a purpose-led culture for organizations large and small. 'a worthy successor to michael porter, bova's book is that
intentional integrity ‘stop talking about bringing your values to work and learn how to actually do it!’ – kim scott, bestselling author of radical candor intentional integrity, by silicon valley expert rob chestnut, provides an
Welcome to Cold Mountain Penitentiary, home to the Depression-worn men of E Block. Convicted killers all, each awaits his turn to walk “the Green Mile,” the lime-colored linoleum corridor leading to a final meeting with
Kid's Box 2nd ed Activity Book with Online Resources Level 6
Kid's Box 2nd ed Activity Book with Online Resources Level 1
Kid's Box Second edition Pupil's Book Level 6
Kid's Box Second edition Pupil's Book Level 3
Kid's Box Second edition Pupil's Book Level 1
Family & Friends (2 Ed.) 1: Workbook Family and Friends offers a carefully graded approach to reading, writing and literacy skills in English to young learners. No other course offers you the same benefits as
Family and Friends offers a carefully graded approach to reading, writing and literacy skills in English to young learners. No other course offers you the same benefits as Family and Friends. The exceptionally strong skills
New Get Smart 2 Flashcards New Get Smart là một khóa học chính đưa những học sinh từ trình độ sơ cấp đến trung cấp, đồng thời xem xét cẩn thận nhu cầu và sở
New Get Smart 4 Flashcards New Get Smart là một khóa học chính đưa những học sinh từ trình độ sơ cấp đến trung cấp, đồng thời xem xét cẩn thận nhu cầu và sở
Cambridge English Empower is a general adult course that combines course content from Cambridge University Press with validated assessment from the experts at Cambridge English Language Assessment. The Pre-intermediate Student's Book gives learners an immediate
Everybody Up (2E) 4 Student Book Everybody Up gets students talking about the real world. Posters, videos, stories, and songs link English to other school subjects and universal values, developing global citizens with 21st century
Oxford Phonics World Refresh 5 Students Book Pack Oxford Phonics World is the first step on your students' journey into English, leading you through all 44 sounds .
English File 4th Edition: Intermediate: Student's Book With Online Practice The English File fourth edition Student's Book is packed full of interesting content to keep students of all levels talking. Online Practice gives students the
Starlight: Level 4: Workbook Using a clear 'engage - practice - communicate' approach in every lesson, Starlight's lively stories, songs, projects, CLIL lessons and high-level course syllabus help students master the language they need for exams
English World 5: Pupil Book with eBook Pack English World is a stunningly visual ten-level course which will take children through from primary to secondary. Written by the authors of best-sellers Way Ahead and Macmillan
Provides more practice to consolidate the Student Book Alphabet Writing Practice familiarizes children with upper and lower case letter shapes
Kid's Box Second edition Pupil's Book Level 5
Voices Advanced - Workbook With Answer Key
Let's Go: Level 3: Workbook With Online Practice - 5th Edition Inspire students to enjoy learning in English with a trusted methodology and easy-to-use teaching tools. Let's Go 5th Edition provides lively and motivating activities
Plus de 50 règles et astuces pour ne plus faire de fautes en orthographe ! Vous hésitez entre a et à, ou et où, et et est, quoique et quoi ? En un clin d'oeil,
ACCESS Series – Grade 6-9 is an ELT series that specially designed specifically for secondary students with English advance programs, based on the method of language synthesis. Levels: 4 cấp độ, từ Lớp 6 –
Super Safari: Super Safari British English edition is a three-level pre-primary course that welcomes very young children to English through stories, songs and plenty of playtime while supporting their cognitive, motor-sensory and social development. Join
Prepare A1 Level 1 Workbook With Audio Download PREPARE 2nd edition Level 1 provides a foundation for levels 2 and 3 which prepare students for the revised 2020 A2 Key for Schools exam. The Level
English World is a stunningly visual ten-level course which will take children through from primary to secondary. Written by the authors of best-sellers Way Ahead and Macmillan English, English World combines best practice methodology with
Academy Award-winning screenwriter Quentin Tarantino returns with his most infamous, most brilliant, most masterful screenplay At the end of the Civil War, a stagecoach hurtles through the wintry Wyoming landscape. Bounty hunter John Ruth and
Nikkei Asia là tạp chí tiếng Anh có tên tuổi thuộc tập đoàn Nikkei - Nhật Bản, chuyên viết về những xu hướng kinh tế, công nghệ, chính trị của các nước trong khu vực
Nikkei Asia là tạp chí tiếng Anh có tên tuổi thuộc tập đoàn Nikkei - Nhật Bản, chuyên viết về những xu hướng kinh tế, công nghệ, chính trị của các nước trong khu vực
Nikkei Asia là tạp chí tiếng Anh có tên tuổi thuộc tập đoàn Nikkei - Nhật Bản, chuyên viết về những xu hướng kinh tế, công nghệ, chính trị của các nước trong khu vực
Nikkei Asia là tạp chí tiếng Anh có tên tuổi thuộc tập đoàn Nikkei - Nhật Bản, chuyên viết về những xu hướng kinh tế, công nghệ, chính trị của các nước trong khu vực
Nikkei Asia là tạp chí tiếng Anh có tên tuổi thuộc tập đoàn Nikkei - Nhật Bản, chuyên viết về những xu hướng kinh tế, công nghệ, chính trị của các nước trong khu vực
Nikkei Asia là tạp chí tiếng Anh có tên tuổi thuộc tập đoàn Nikkei - Nhật Bản, chuyên viết về những xu hướng kinh tế, công nghệ, chính trị của các nước trong khu vực
Grammar Friends: 2: Student Book The step-by-step grammar presentations in Grammar Friends introduce form, use and meaning in a way that even young beginner learners can understand and remember. The series was written to support
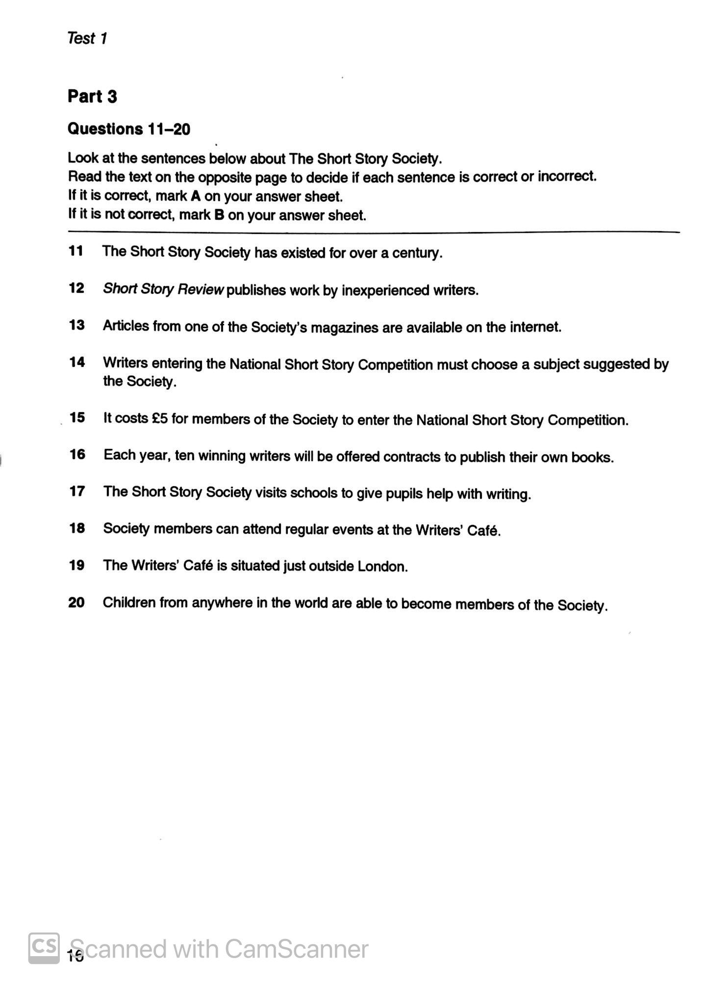
The Cambridge Preliminary English Test 5 practice tests provide candidates with an excellent opportunity to familiarise themselves with the 2004 PET exam and to practise examination techniques. The Student's Book contains practice material for Paper
Kid's Box 2nd ed Activity Book with Online Resources Level 5
English Plus: Level 1: Student's Book 1 The English Plus Student's Book provides plenty of carefully planned practice to build students' confidence whatever their ability. Extra material offers flexible options so that you can cater to different
Ferris Wheel Level 1 Activity Book The Ferris Wheel Activity Book offers further practice of all the language and content which has been introduced in the Student's Book.
Build conversation skills, with functional language in the new Fluency Time! sections - even see the conversations in action, on the Fluency DVD. Cross-curricular lessons present language in natural, real-life contexts. Students can take their
American Family And Friends: Level Five: Workbook We asked what teachers liked and what they wanted to change. They told us - and we listened. Fluency development. Cross-curricular lessons and projects. Online Play. Just a
Brighter Ideas 3 - Student Book With Online Practice Brighter Ideas is designed to engage students enquiring minds, encouraging them to participate in discussions about real-world topics, and achieve results. With a range of flexible
Prepare B1 Level 5 Workbook with Audio Download PREPARE 2nd edition Level 5 combines 'teen-appeal' topics with extensive preparation for the revised 2020 A2 Key for Schools exam. The Level 5 Workbook provides additional reading,
Big English AmE 2Ed Level 2 Value Pack (SB + WB) Big English is a 6-level, intensive primary course. Designed for achieving results, Big English provides a curriculum that delivers comprehensive English language acquisition underpinned
Let's Begin: Level 2: Student Book - 5th Edition Inspire students to enjoy learning in English with a trusted methodology and easy-to-use teaching tools. Let's Go 5th Edition provides lively and motivating activities and offers
Provides more practice to consolidate the Student Book Picture Dictionary (Levels 1-4) helps with vocabulary practice Grammar Reference Guide (Levels 5-6) offers more practice, and allows students and teachers to check grammar rules
Build conversation skills, with functional language in the new Fluency Time! sections - even see the conversations in action, on the Fluency DVD. Cross-curricular lessons present language in natural, real-life contexts. Students can take their
Build conversation skills, with functional language in the new Fluency Time! sections - even see the conversations in action, on the Fluency DVD. Cross-curricular lessons present language in natural, real-life contexts. Students can take their
Build conversation skills, with functional language in the new Fluency Time! sections - even see the conversations in action, on the Fluency DVD. Cross-curricular lessons present language in natural, real-life contexts. Students can take their
Build conversation skills, with functional language in the new Fluency Time! sections - even see the conversations in action, on the Fluency DVD. Cross-curricular lessons present language in natural, real-life contexts. Students can take their
Build conversation skills, with functional language in the new Fluency Time! sections - even see the conversations in action, on the Fluency DVD. Cross-curricular lessons present language in natural, real-life contexts. Students can take their
Everybody Up (2E) 5 Student Book Everybody Up gets students talking about the real world. Posters, videos, stories, and songs link English to other school subjects and universal values, developing global citizens with 21st century
Kid's Box Second edition Class Book With CD-ROM Starters
Let's Begin: Level 1: Workbook with Online Practice - 5th Edition Inspire students to enjoy learning in English with a trusted methodology and easy-to-use teaching tools. Let's Go 5th Edition provides lively and motivating activities
Big English AmE 2Ed Level 1 Value Pack (SB + WB) Designed for achieving results, Big English 2nd Edition (American English) delivers comprehensive English language acquisition alongside CLIL and broader life skills, supported by unique
👁️ 1405 | ⌚2025-10-06 01:05:14.139
PET 1 TEST 2 | Luyện nghe tiếng anh B1 có dịch nghĩa | Cambridge Preliminary English Test
Luyện nghe PET 1 TEST 1 | Có Đáp Án và Dịch nghĩa Tiếng Việt Chi Tiết | B1 Listening Practice
B1 Preliminary (PET) Listening Test 19 with answers (new format)
B1 Preliminary (PET) Listening Test 20 with answers (new format)
Study English online (B1). Preliminary English Test (PET) Listening Book 5 : Test 1 part 2
Study English online (B1). Preliminary English Test (PET) Listening Book 5 : Test 1 part 1

PET 1 TEST 2 | Luyện nghe tiếng anh B1 có dịch nghĩa | Cambridge Preliminary English Test
Luyện nghe PET 1 TEST 1 | Có Đáp Án và Dịch nghĩa Tiếng Việt Chi Tiết | B1 Listening Practice
B1 Preliminary (PET) Listening Test 19 with answers (new format)
B1 Preliminary (PET) Listening Test 20 with answers (new format)
Study English online (B1). Preliminary English Test (PET) Listening Book 5 : Test 1 part 2
Study English online (B1). Preliminary English Test (PET) Listening Book 5 : Test 1 part 1

+ CHI TIẾT - 100% da bò tự nhiên - Chất liệu: Da bò Pebbled mềm mại - Màu da: Vàng cam - Kiểu dáng: Đứng – Gập 2 - Khóa kéo: Không - Kích
4P's có nghĩa "For Peace" - cho Hòa Bình tràn ngập trên toàn thế giới. Tham vọng ở Pizza 4P's không chỉ đơn giản là "Một nhà hàng Pizza tuyệt vời" mà chúng tôi có
Le Monde Steak là hệ thống Bít Tết theo phong cách thành thị Pháp đầu tiên tại Việt Nam, nơi thực khách tự do trải nghiệm những món ăn mang hương vị Pháp đầy lôi
Sôi nổi, phóng khoáng, vui nhộn chính là tinh thần mà Yakimono – Quán thịt nướng Nhật Bản muốn mang đến cho bạn. Trái ngược với khung cảnh yên bình bên ngoài, chỉ cần đẩy
Hoa Yêu Thương là bông hoa được ghép từ nhiều trái tim với mong muốn kêu gọi mọi người hãy chia sẻ yêu thương nhiều hơn. Cuộc sống sẽ tốt hơn rất nhiều nếu chúng
Gyu-Kaku nhập thịt tươi và cắt từng lát một tại nhà hàng để đảm bảo độ tươi ngon. Nước tương và miso truyền thống Nhật Bản chúng tôi dùng cho sốt và ướp thịt kĩ
Hạn sử dụng: 2025-12-31 00:00:00 Potico là điện hoa chuyên cung cấp bó hoa yêu thương và quà tặng ý nghĩa hàng đầu tại Việt Nam. Potico luôn miễn phí giao hàng trong khu vực
Nếu bạn là người Hàn Quốc sinh sống hoặc làm việc xa nhà, bạn nên ghé qua Butoomac để cảm nhận hương vị quê hương. Đây là những nhà hàng rất nổi tiếng ở Hà
Ra mắt thương hiệu tại Hà Nội với cơ sở đầu tiên Hàng Bông vào năm 2016, hiện nay, Don Chicken đã có 14 cửa hàng tại Hà Nội, Quảng Ninh, Bắc Ninh, Thanh Hóa
MIYEN - Nét chấm phá Nhật Bản tinh tế đầy duy mỹ. Miyen Japanese Fusion Cuisine mong muốn đem đến cho Quý Thực khách trải nghiệm bầu không khí giao thời của một đất nước
Với phương châm: “Nơi ẩm thực Hồng Kông được tôn vinh và chăm chút. Chúng tôi mang đến quý khách sự trải nghiệm tuyệt đối từ vị giác đến văn hóa ẩm thực”. Baoz Dimsum
A Mà Kitchen - Stay Vietnam, Taste HongKong Trở về Hồng Kông 40 năm trước, A Mà - Bà Nội của một gia đình Trung Hoa là người luôn tận tụy chăm lo từng bữa
Thương hiệu bánh donut thơm ngon, và những ly cà phê đậm đà, mang đến không gian thân thiện để kết nối mọi người. CRISPY DONUTS luôn cập nhật hương vị mới, đảm bảo mỗi
Đến Hệ thống tiNiWorld, các bậc phụ huynh hoàn toàn có thể yên tâm vì con yêu của mình được bảo vệ an toàn nhất. Tất cả các thiết bị đồ chơi tại đây đều
BORNGA VIỆT NAM: Là chi nhánh thuộc thương hiệu và chuỗi hệ thống nhà hàng nổi tiếng toàn cầu Bornga, Bornga Việt Nam hân hạnh phục vụ những món ăn mang đậm nét truyền thống
Otoké Chicken tự hào là thương hiệu gà rán của Việt Nam - được đầu tư và quản lý bởi Quỹ đầu tư VI (VIGroup) – một công ty quản lý quỹ chuyên nghiệp, chuyên
Với sự ra đời của cửa hàng đầu tiên tại Việt Nam vào năm 2007, chuỗi cửa hàng TOUS les JOURS khẳng định vị trí dẫn đầu trong phân khúc cao cấp bánh và cà
Bạn đang lên kế hoạch cho một bữa tiệc ấm cúng, một buổi hẹn hò hay một buổi liên hoan cuối năm? Đừng bỏ lỡ voucher tiền mặt từ Ssamjang - Nướng & Cuốn Chợ
Shang Chi - Taiwanese Rotary Hotpot là con tàu trải nghiệm và khám phá thiên đường lẩu Đài Loan đầy màu sắc và đa dạng. Shang Chi cũng là sự giao thoa giữa yếu tố
Không gian rộng rãi và sạch sẽ, nhân viên thân thiện, nhiệt tình chắc chắn là điểm đến lý tưởng cho một cuộc hẹn tại Spicy Box. Đến với Spicy Box bạn sẽ được hóa